|
<Previous
Next>

Open Neutral in Single-Phase Service - Note that while an open
neutral in the service panel does still have a ground connection, it is not necessarily
at the same potential as ground at the utility pole transformer. Soil resistivity
determines the resistance between the two points, and therefore the current division
between the two paths.
A neighbor approached me the other day regarding a strange occurrence with the
electrical supply to his workshop, which is not attached to the house. The overhead
lights were dim, and his small refrigerator was straining. Turning on or off various
tools and lights caused changes in everything else. This guy is one smart cookie
(and an excellent woodworker), and has handled all his own household electrical
and plumbing issues for many decades, but he had never experienced such a situation.
Fortunately, I have.
Upon hearing his description, I immediately recognized it as a case of an open
neutral in the circuit breaker panel (aka load center). I have seen that before.
Understanding what is happening can be made simple by realizing that once the neutral
reference is gone, the two "legs" (phases) are in series with each other rather
than in parallel. The individual loads on each leg are still in parallel with each
other, but the two parallels sets of loads are in series between 240 volts.
The available voltage source divides between the them between the two legs according
to their relative complex impedances.
His dilemma was caused by a buried feeder cable having developed an open circuit
in the neutral wire. A temporary fix was effected by disconnecting one side of the
double pole circuit breaker in the house's main panel, and connecting it to the
neutral bar, and then connecting that wire to the neutral bar in his workshop panel.
A jumper wire was connected between the two 120 V legs in the workshop panel
so that the entire shop is now receiving just 120 V. He was not currently using
240 V for anything, so that works out OK until a new cable can be buried.
In a standard single-phase, 120/240-volt electrical service, the neutral line
plays a critical role in ensuring the proper distribution of voltage across the
two legs of the system. The system comprises two "hot" wires, each delivering 120
volts relative to the neutral, and 240 volts between them. Although referred to
as a single-phase system, it is actually two feeds which are 180° out of phase
with each other, with 120 V on each phase. The neutral wire provides a common
return path for current, maintaining the loads on each leg in parallel and ensuring
voltage balance.
When the neutral line becomes disconnected, an "open neutral" condition arises.
In this scenario, the two legs are no longer referenced to a stable neutral potential.
Instead, the loads connected to the two legs form a series circuit across the 240-volt
supply. The voltage division between the two legs is no longer fixed at 120 volts
each; instead, it depends on the impedance (resistance or a combination of resistance
and reactance) of the loads connected to each leg. The result is an uneven voltage
distribution, with one leg experiencing a higher voltage and the other a lower voltage.
This condition can cause overvoltage damage to devices on one leg and undervoltage
malfunction or failure of devices on the other. To illustrate this effect, consider
the following examples.
Resistive Loads with Uneven Voltages
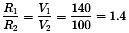
Assume that in an open neutral condition, the voltage on one phase measures 140
volts, and on the other phase, it measures 100 volts. Let the load on the phase
with 140 volts have a resistance of R1, and the load on the phase with
100 volts have a resistance of R2. The total supply voltage is Vtotal
= 240 volts.
The voltage division is governed by Ohm's law and the relationship between the
resistances:

From the given voltages:
V1 = 140 volts , V2 = 100 volts
Using V1 + V2 - Vtotal, the resistances are
in proportion to the voltages:

Let R2 =100 Ω. Then R1 = 1.4 x R2 = 140 Ω.
The current through the circuit is determined by the total resistance:
The power dissipated by each load can also be calculated:

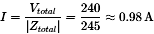
Complex Loads with Uneven Voltages
Now consider the same voltage measurements (140 volts and 100 volts), but the
loads on the phases are no longer purely resistive. Let the load on the first phase
have an impedance Z1 = R1 +jX1, with R1
= 140 Ω and inductive reactance X1 = 100 Ω. Let
the load on the second phase have an impedance Z2 = R2 +jX2,
with R2 = 100 Ω and capacitive reactance X2 = 50 Ω.
The total impedance is:

The current in the circuit is:

The voltage drops across each impedance are calculated using the complex voltage
division:
The magnitudes of V1 and V2 are approximately 140 volts
and 100 volts, matching the measured values. However, the phase angles of these
voltages indicate power factors for the loads, which impact the real and reactive
power delivered to each phase.
An open neutral condition thus leads to unpredictable voltage and power distributions,
endangering equipment and causing inefficiency. Proper troubleshooting and repair
are essential to restore balanced and stable operation.
|